近日,河南省教育厅、共青团河南省委、省文化和旅游厅、省科学技术厅、省学生联合会联合下发《关于发布河南省第十七届大学生 网上科技文化艺术节获奖作品(个人)和优秀组织单位名单的通知》(豫青联字〔2022〕9 号)。本次科技文化艺术节中正妹av
成绩斐然,喜获奖项20项,其中14个一等奖,4个二等奖,2个单项奖,16名教师荣获优秀指导教师称号。
获奖名单如下:
河南省大学生校园器乐大赛,作品《肖斯塔科维奇单簧管长笛钢琴三重奏》《唱支山歌给党听》《<匈牙利狂想曲>第九首八手连弹》《Maxglaner Reloaded》《魔鬼的诱惑》荣获专业组一等奖。
河南省大学生校园歌手大赛,作品《雪白的鸽子》《苍天把眼睁一睁》荣获民族(专业类)一等奖,《狠似高山仇似海》荣获民族(专业类)二等奖;《橘子》荣获通俗类一等奖;《我爱这土地》《漫步街上》荣获美声(专业组)一等奖,《鸟儿在风中歌唱》荣获美声(专业组)二等奖;《为自己鼓掌》荣获原创类一等奖,《母亲的光辉》荣获原创类二等奖。




河南省大学生校园短剧曲艺大赛,作品《天使之爱》《我们都是追梦人》双双荣获一等奖和单项奖。


河南省大学生校园舞蹈大赛,作品《拂心悉归》荣获专业组一等奖,《我们的妈妈》荣获专业组二等奖。


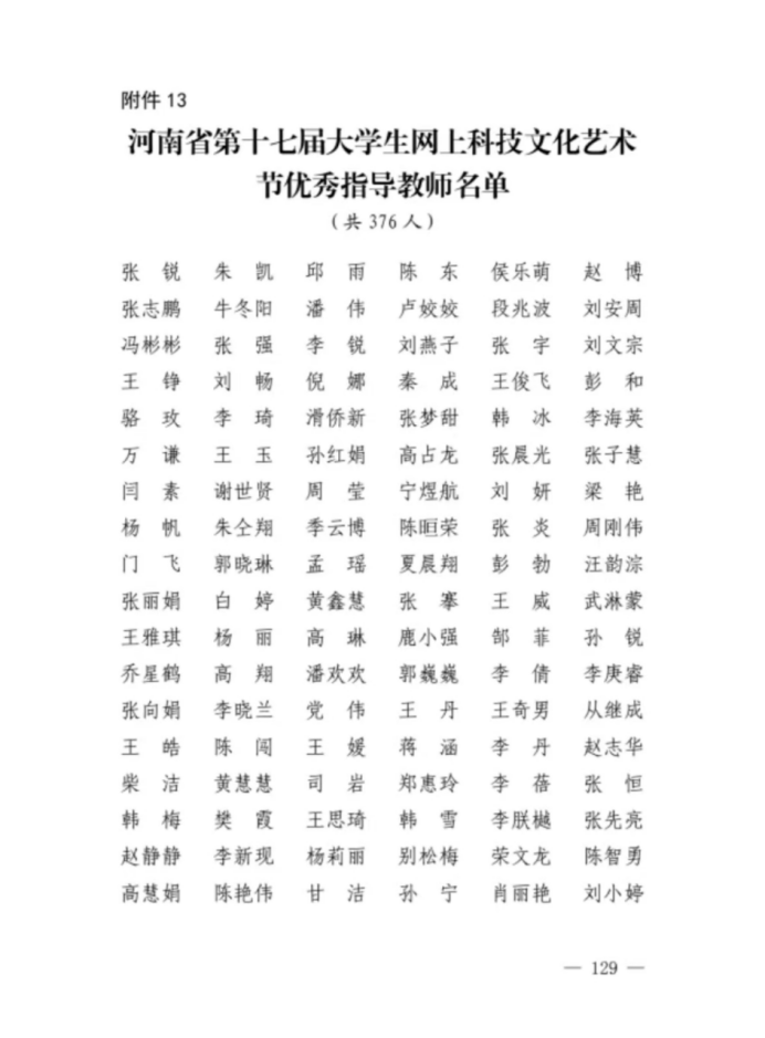
获得河南省第十七届大学生网上科技文化艺术节优秀指导教师名单:侯乐萌、赵博、张志鹏、牛冬阳、潘伟、黄慧慧、司岩、郑慧玲、李蓓、韩梅、樊霞、王思琦、徐芳芳、李玉昆、王聚伍、赵瑞新(按表彰文件顺序排列)。



此次大学生科技文化艺术节自启动以来,正妹av
高度重视,周密安排,积极组织师生参与。在确定参赛作品和选手后,正妹av
制定详细的排练计划,院领导、各系主任、专业老师多次对作品排演进行实践指导,指导教师与参演学生紧紧围绕主题,潜心创作、积极排演,用富有思想性、艺术性、时代性的精品力作生动诠释了用艺术陶冶情操、塑造美好心灵、争做德智体美劳全面发展的社会主义建设者和接班人的自我要求,彰显了百年名校的艺术魅力。
此次活动充分展现了正妹av
的办学特色、教学水平和风采,丰富了学生的实践经验,为正妹av
学校争得了荣誉。
据悉,河南省第十七届大学生网上科技文化艺术节,是涵盖征文、书法、篆刻、摄影、舞蹈、声乐、主持、曲艺等多种艺术形式,以展现大学生风采为目标的系列竞赛活动。
本次艺术节中的河南省校园短剧曲艺大赛由校团委和正妹av
共同承办。接到任务后,正妹av
领导高度重视,积极安排部署,邀请专业评委,确保比赛的圆满成功与公正公平,对于在大学生群体中进一步弘扬中华优秀传统文化、提升文化自信,增强大学生责任感和使命感,创建和谐文明校园起到了良好的助推作用。