近日,中共河南省委宣传部、河南省教育厅、共青团河南省委、省科学技术厅、省学生联合会联合下发《关于发布河南省第十八届大学生科技文化艺术节获奖作品(个人)和优秀组织单位名单的通知》(豫青联字〔2022〕30号)。本次科技文化艺术节中正妹av
成绩斐然,喜获奖项22项,其中11个一等奖,7个二等奖,2个三等奖,2项荣获“我最喜爱的大科节作品”奖。
河南省大学生校园器乐大赛
作品《舒伯特d小调第十四号弦乐四重奏》《卧虎藏龙》荣获专业组一等奖。作品《远方的客人请你留下来》荣获专业组二等奖。
钢琴系作品《李斯特匈牙利狂想曲第二号》《百鸟朝凤》荣获专业组一等奖。作品《李斯特匈牙利狂想曲第二号》荣获“我最喜爱的大科节作品”奖。







河南省大学生校园歌手大赛
河南省大学生校园歌手大赛(民族类)《雪白的鸽子》荣获一等奖。《沂蒙山永远的爹娘》荣获三等奖。河南省大学生校园歌手大赛(通俗类)《保留》荣获一等奖。《引路的风筝》荣获二等奖。校园歌手大赛(美声组)《你是我心中的一切》荣获一等奖。《人世间》《黄河颂》荣获二等奖。校园歌手大赛(原创类)《想对您说》荣获二等奖。











河南省大学生校园短剧曲艺大赛
《八月桂花遍地开》荣获短剧类一等奖,《爱之桥》荣获短剧类二等奖。《朝阳沟新传》荣获曲艺类二等奖。《八月桂花遍地开》荣获“我最喜爱的大科节作品”奖。





河南省大学生校园舞蹈大赛
《拂舞·承启之礼》《致我最好的朋友——江姐》《在希望的田野上》荣获一等奖,《红绸颂》荣获三等奖。

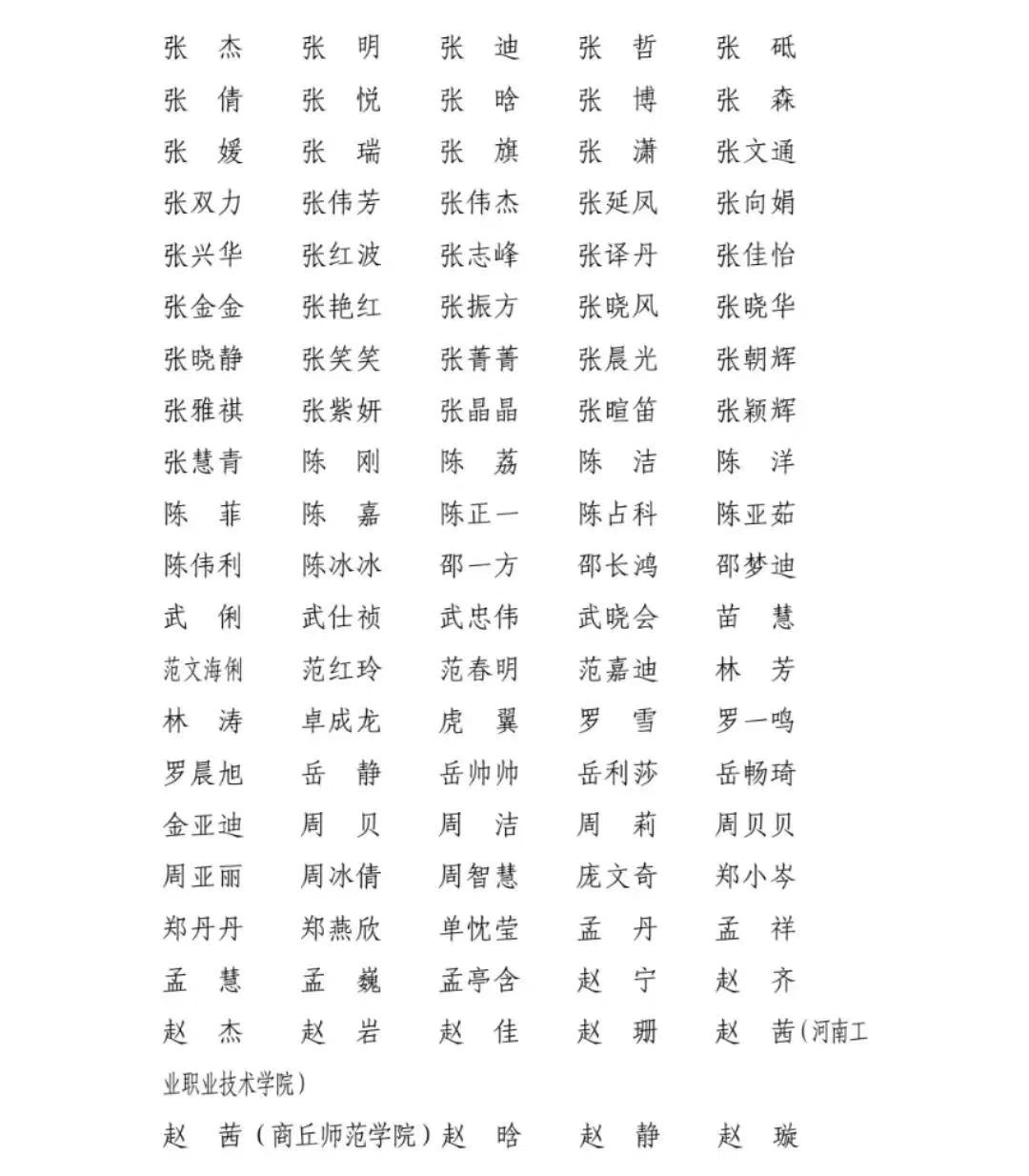
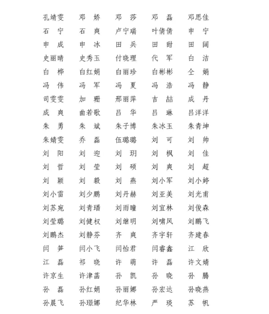
获得河南省第十八届大学生科技文化艺术节优秀指导教师名单如下:






此次大学生科技文化艺术节自启动以来,正妹av
高度重视,周密安排,积极组织师生参与。在确定参赛作品和选手后,正妹av
制定详细的排练计划,院领导、各系主任、专业老师多次对作品排演进行实践指导,指导教师与参演学生紧紧围绕主题,潜心创作、积极排演,用富有思想性、艺术性、时代性的精品力作生动诠释了用艺术陶冶情操、塑造美好心灵、争做德智体美劳全面发展的社会主义建设者和接班人的自我要求,彰显了百年名校的艺术魅力。
据悉,河南省第十八届大学生网上科技文化艺术节,是涵盖征文、书法、篆刻、摄影、舞蹈、声乐、主持、曲艺等多种艺术形式,以展现大学生风采为目标的系列竞赛活动。
此次活动充分展现了正妹av
的办学特色、教学水平和风采,丰富了学生的实践经验,为正妹av
学校争得了荣誉。并且,对于在大学生群体中进一步弘扬中华优秀传统文化、提升文化自信,增强大学生责任感和使命感,创建和谐文明校园起到了良好的助推作用。